随着天体的运行,夜幕再次降临在月球背面。嫦娥四号着陆器和“玉兔二号”月球车完成第23月昼工作,分别于10月23日21时40分和12时,按地面指令完成月夜模式设置,进入月夜休眠。截至今天,嫦娥四号着陆器和“玉兔二号”月球车已在月球背面顺利工作660个地球日,累计行驶565.9米。

最近玄武岩覆盖区域(红色线条区域)。
基于第22月昼全景相机拼接影像、DOM影像等数据情况,“玉兔二号”月球车在第23月昼期间先后向玄武岩分布区域和反射率较高的撞击坑区域行驶,这两个位置均位于月球车西北方向。在此行进路线中,红外成像光谱仪对一直径约为30cm的岩块进行了光谱探测。科研团队正在对探测数据进行深入研究。
在23个月昼的科学探测中,着陆器上月表中子与辐射剂量探测仪开展了国际上首次月表实地粒子辐射环境探测,获取了珍贵的第一手科学数据,研究成果在Science Advance期刊发表。

月表中子与辐射剂量探测仪在着陆器上的安装位置。
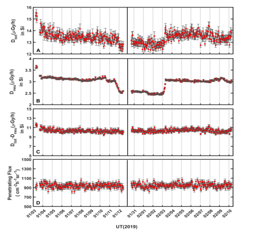
月表中子与辐射剂量探测仪可对月表的粒子辐射总剂量、中性粒子辐射剂量、粒子辐射LET谱、中子、带电粒子进行综合测量。实测结果表明,着陆区附近粒子辐射剂量率为13.2uGy/h(si),剂量当量是火星表面和空间站内部的2倍,一次航班的5到10倍,地球表面(北京)的300倍。

测量到的月表辐射剂量(横轴为世界时,纵轴分别为:a 硅中的总辐射剂量率(微戈瑞/小时),b. 硅中的中性粒子辐射剂量率(微戈瑞/小时), c. 硅中的带电粒子辐射剂量率(微戈瑞/小时),d. 宇宙线穿透粒子通量(个/平方厘米·小时·弧度)。
这些实地测量结果为我国后续的月球探测提供了重要的辐射环境参数。该载荷还将带电粒子和中性粒子的辐射剂量进行了区分,由此提供了更加精准的辐射物理量,可服务于未来航天员的辐射防护。
责任编辑:岳文燕
